Artículo Científico / Scientific Paper

 

https://doi.org/10.17163/ings.n35.2026.05

 

pISSN: 1390-650X / eISSN: 1390-860X

ANÁLISIS DE IMPEDANCIAS DE TIERRA DE FORMA

CERRADA EN ESTUDIOS DE CORTOCIRCUITO DE

SISTEMAS DE DISTRIBUCIÓN AÉREA

 

ANALYSIS OF CLOSED-FORM GROUND-RETURN

IMPEDANCES FOR SHORT-CIRCUIT STUDIES IN

OVERHEAD DISTRIBUTION SYSTEMS

 

Allen A. Castillo Barrón1,* , Gerardo Ayala Jaimes1 ,

Alejandra Jiménez Vega1 , Francisco J. Ramírez Arias1

 

Recibido: 29-04-2025, Recibido tras revisión: 05-11-2025, Aceptado: 18-11-2025, Publicado: 01-01-2026

 

Resumen

Abstract

El objetivo de este estudio es evaluar la aplicabilidad de las principales fórmulas cerradas de impedancia de retorno por tierra en el análisis de cortocircuito de sistemas de distribución, así como identificar las configuraciones críticas en las cuales la elección del modelo de impedancia puede influir significativamente en los resultados del cortocircuito. La metodología adoptada en esta investigación se estructura en tres etapas. Primero, se desarrolló un algoritmo para implementar y comparar las formulaciones cerradas de impedancia de retorno por tierra, el cual fue validado con datos de referencia disponibles en la literatura. Segundo, se diseñó un algoritmo de análisis de cortocircuito que fue verificado con resultados publicados por la IEEE Power and Energy Society. Finalmente, se realizaron múltiples estudios de cortocircuito en varios alimentadores de prueba de distribución del IEEE. Los resultados muestran que la mayoría de las formulaciones cerradas de impedancia de retorno por tierra son adecuadas tanto para análisis de cortocircuito balanceados como desbalanceados, y que, en fallas monofásicas a tierra, la elección de la fórmula cerrada de impedancia resulta un factor crítico para obtener resultados precisos.

The objective of this study is to evaluate the applicability of the most widely used closed-form groundreturn impedance formulas in short-circuit analyses of distribution systems and to identify the critical network configurations in which the choice of impedance model significantly affects the short-circuit results. The methodology adopted in this research is organized into three stages. First, an algorithm was developed to implement and compare several closed-form earthreturn impedance formulations, and its performance was validated using benchmark data reported in the literature. Second, a short-circuit analysis algorithm was designed and verified against reference results published by the IEEE Power and Energy Society. Finally, multiple short-circuit studies were performed on several IEEE distribution test feeders. The findings reveal that most closed-form earth-return impedance models provide adequate accuracy for both balanced and unbalanced short-circuit analyses. However, for single-phase line-to-ground faults, the choice of closedform impedance formulation is critical to obtaining accurate short-circuit results.

Palabras clave: Fórmulas cerradas de impedancia de tierra, sistemas de distribución, exactitud de cálculo de cortocircuito

Keywords: Closed-form ground-return impedance, Distribution systems; Short-circuit calculation accuracy

 

 

 

 

 

 

 

1,*Departamento de Ingeniería Eléctrica (FCITEC), Universidad Autónoma de Baja California, Tijuana, México.

Autor para correspondencia : allen.castillo@uabc.edu.mx.

 

Forma sugerida de citación: A. A. Castillo Barrón, G. Ayala Jaimes, A. Jiménez Vega y F. J. Ramírez Arias “Análisis de impedancias de tierra de forma cerrada en estudios de cortocircuito de sistemas de distribución aérea,” Ingenius, Revista de Ciencia y Tecnología, N.◦ 35, pp. 69-83, 2026. doi: https://doi.org/10.17163/ings.n35.2026.05.

 

 

1.     Introducción

 

Los sistemas de distribución presentan una geometría inherentemente asimétrica y, a diferencia de las líneas de transmisión, no están transpuestas. Esta falta de simetría conduce a desequilibrios significativos de fase, lo que incrementa la circulación de corriente a través de la tierra. En consecuencia, modelar con precisión la impedancia de retorno por tierra es esencial para obtener una representación exacta del comportamiento eléctrico del sistema [1–3].

El primer modelo de impedancia de retorno por tierra fue desarrollado por Carson en 1926, quien derivó la primera formulación analítica al expresar el campo eléctrico axial en el suelo como una integral impropia de tipo Fourier bajo suposiciones cuasi-TEM. El modelo de Carson representa una contribución fundamental al campo; sin embargo, se basó en suposiciones simplificadas, como suelo homogéneo, permeabilidad terrestre igual a la del espacio libre y la omisión de corrientes de desplazamiento, lo que limitó su aplicabilidad a frecuencias más altas y en suelos con efectos significativos de permitividad [4].

Investigadores posteriores abordaron estas limitaciones. Wise, en sus primeros trabajos de 1931 y 1934, introdujo formulaciones que ampliaron el modelo de Carson al incorporar permeabilidad terrestre finita y corrientes de desplazamiento, utilizando el potencial vectorial de Hertz y expansiones de Fourier–Bessel para generalizar la ecuación de onda para suelos imperfectos [5, 6].

Posteriormente, en 1968, Sunde avanzó aún más el trabajo de Wise al incorporar los efectos de estructuras de suelo estratificado en las formulaciones de impedancia de retorno por tierra [7].

La formulación de Carson fue expresada originalmente como integrales impropias, lo que dificultaba su evaluación directa. A lo largo de los años, los investigadores han propuesto varios métodos para evaluar estas integrales, incluyendo técnicas de integración numérica y desarrollos en series infinitas [1], [8]. Sin embargo, estos enfoques suelen ser computacionalmente intensivos y requieren tiempos de procesamiento considerables.

Para abordar estas limitaciones, se han desarrollado múltiples modelos de imágenes complejas. Sunde introdujo una base física más rigurosa para la ubicación de las imágenes y proporcionó expresiones prácticas en forma cerrada [7].

Posteriormente, Dubanton y Deri propusieron profundidades de imágenes complejas más sofisticadas derivadas de aproximaciones exponenciales o logarítmicas de la integral de Carson [9, 10].

Alvarado refinó aún más estos resultados al introducir un modelo en forma cerrada más preciso y adecuado para

aplicaciones de ingeniería [11], mientras que Pizarro y, posteriormente, Noda presentaron modelos de doble imagen compleja en los cuales dos conductores imagen optimizados mejoran sustancialmente la precisión de la aproximación en amplios rangos de frecuencia y configuraciones geométricas [12, 13].

Finalmente, es importante señalar que Kersting propuso un modelo que depende solo de los primeros términos de la expansión en series de Carson [14], y que el propio Carson, en su trabajo original, ya había derivado una solución en forma cerrada, aunque esta contribución permaneció en gran medida poco reconocida hasta años recientes [15].

Las soluciones en forma cerrada para la impedancia de retorno por tierra han sido ampliamente estudiadas, y numerosos trabajos han analizado su sensibilidad a la resistividad del suelo, la altura del conductor, el espaciamiento horizontal, la frecuencia de operación y la estratificación del terreno.

Estos estudios proporcionan información valiosa sobre la precisión y las limitaciones tanto de las aproximaciones clásicas como de las modernas, incluidas las series basadas en Carson, las formulaciones mediante el método de imágenes y las expresiones recientes en forma cerrada.

Sin embargo, a pesar de este extenso cuerpo de investigación, ningún trabajo previo ha evaluado la aplicabilidad o la precisión de estos modelos en forma cerrada para estudios de cortocircuito en sistemas de distribución desbalanceados, en los cuales el acoplamiento mutuo y las geometrías asimétricas de los alimentadores influyen de manera significativa en los resultados [1], [8], [16–18].

Para los estudios de cortocircuito en sistemas balanceados, el método de componentes simétricas es ampliamente utilizado. Sin embargo, en redes de distribución, que son inherentemente desbalanceadas debido a su geometría asimétrica, aplicar directamente este método puede conducir a errores significativos [19].

En tales casos, el análisis en el dominio de fase se vuelve esencial, ya que representa explícitamente el desbalance del sistema e incorpora las impedancias mutuas entre fases. Estudios recientes han integrado representaciones en el dominio de fase directamente en el marco de componentes simétricas, lo que permite un tratamiento más preciso de los efectos de desbalance y acoplamiento mutuo.

Estos enfoques híbridos están siendo empleados cada vez más para analizar sistemas de distribución con alta penetración de generación distribuida (DG), donde la interacción entre las condiciones desbalanceadas de la red y los recursos basados en inversores requiere un modelado detallado y resuelto por fase de los cortocircuitos [20–22].

 

 

Dado que los estudios de cortocircuito en sistemas de distribución con generación distribuida se realizan actualmente de forma habitual mediante análisis en el dominio de fase, el cual depende directamente de una representación precisa de la impedancia de retorno por tierra, es esencial evaluar si las formulaciones en forma cerrada más ampliamente utilizadas —implementadas en software comercial y en proyectos de investigación—son adecuadas para este propósito [1], [17].

Evaluar su desempeño permite determinar la fiabilidad de estas expresiones en forma cerrada para los cálculos de cortocircuito y, en consecuencia, su idoneidad para analizar sistemas de distribución desbalanceados con alta penetración de DG.

Este estudio proporciona un análisis integral de cortocircuito en el dominio de fase de tres sistemas de distribución, incorporando las formulaciones en forma cerrada más ampliamente utilizadas para la impedancia de retorno por tierra. La novedad de este estudio radica en evaluar, por primera vez, el impacto directo de estas formulaciones en los resultados de cortocircuito en redes de distribución desbalanceadas, en lugar de centrarse únicamente en su precisión electromagnética, como en contribuciones anteriores.

Las principales contribuciones de este trabajo se resumen de la siguiente manera:

 

·         Cuantificar el error porcentual introducido en los cálculos de cortocircuito cuando se emplean diferentes formulaciones en forma cerrada de la impedancia de retorno por tierra.

·         Identificar las configuraciones críticas de la red en las cuales la selección del modelo de impedancia puede ejercer una influencia significativa en los resultados de cortocircuito.

 

2.     Materiales y métodos

2.1.  Fórmulas de impedancia en forma cerrada

 

Las principales expresiones en forma cerrada para la impedancia de retorno por tierra en líneas aéreas de distribución se derivan de las formulaciones de Carson [16,17], [23] e incluyen los siguientes componentes, ver ecuación (1):

 

(1)

 

Donde Rc y Xc denotan la resistencia y la reactancia del conductor, respectivamente; Xg representa la reactancia asociada con la distribución geométrica de los conductores; y Ze es la impedancia de retorno por tierra.

Como es habitual para líneas aéreas cortas (menores a 50 millas), la capacitancia se omite porque tiene un impacto insignificante a frecuencias de potencia [24].

La resistencia del conductor es típicamente proporcionada por el fabricante. La reactancia del conductor está dada por la siguiente ecuación (2):

 

(2)

 

Donde:

 

ω es la frecuencia compleja, rad/s.

μ0 es la permeabilidad del vacío, H/milla.

μr es la permeabilidad magnética relativa.

rext es el radio del conductor (ft)

GMR es el radio medio geométrico del conductor (ft).

 

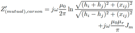
El modelo extendido de Carson se presenta en (3)-(6). En estas expresiones, Zc denota la impedancia propia del conductor y está dada por la suma de Rc y jXc. El segundo término en el lado derecho de la ecuación (3) y el primer término en el lado derecho de la ecuación (4) corresponden a la reactancia asociada con la geometría de la línea (jXg). Los últimos términos en los lados derechos de (3) y (4) representan la impedancia de retorno por tierra (Ze).

 

(3)

 

(4)

 

Donde:

 

(5)

 

(6)

 

y

 

ρ es la resistividad del suelo, Ω · ft.

hs, hi, hj son las alturas de los conductores sobre el suelo (ft).

x es la separación horizontal entre conductores (ft).

 

 

La solución a las integrales infinitas en las ecuaciones (5) y (6) fue expresada inicialmente por Carson como una solución en forma cerrada. Sin embargo, debido a los recursos computacionales limitados disponibles en ese momento, presentó el resultado como una expansión en series infinitas. En consecuencia, se hicieron necesarias aproximaciones posteriores para obtener formulaciones prácticas de la impedancia de retorno por tierra [1], [15].

Esta sección resume las principales soluciones en forma cerrada para bajas frecuencias, comenzando con las aproximaciones logarítmicas simple y doble de las integrales de Carson [9–13] seguidas de las adaptaciones computacionales de las expresiones correspondientes en series infinitas [14], [23].

 

2.1.1.      Dubanton

 

La solución a las integrales infinitas en las ecuaciones (5) y (6) fue expresada inicialmente por Carson como una solución en forma cerrada. Sin embargo, debido a los recursos computacionales limitados disponibles en ese momento, presentó el resultado como una expansión en series infinitas. En consecuencia, se hicieron necesarias aproximaciones posteriores para obtener formulaciones prácticas de la impedancia de retorno por tierra [1], [15].

Esta sección resume las principales soluciones en forma cerrada para bajas frecuencias, comenzando con las aproximaciones logarítmicas simple y doble de las integrales de Carson [9–13], seguidas de las adaptaciones computacionales de las expresiones correspondientes en series infinitas [14], [23].

 

(7)

 

(8)

 

donde la profundidad compleja (ft) se define como:

 

(9)

 

2.1.2.      Deri

 

En 1981, Deri et al. [10] proporcionaron una validación matemática de las fórmulas de impedancia propuestas por Dubanton y Gary. Su solución final en forma cerrada se expresa de la siguiente manera:

 

(10)

 

(11)

 

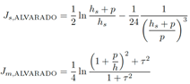
2.1.3.      Alvarado

 

Un año después, en 1982, Alvarado et al. [11] mejoraron las fórmulas de impedancia desarrolladas por Deri. Su principal contribución fue proponer una aproximación que conservaba un mayor número de términos que la formulación de Deri. La expresión resultante se expresa de la siguiente manera:

 

(12)

 

(13)

 

(14)

 

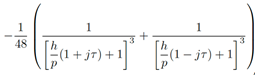
2.1.4.      Pizarro y Eriksson

 

Pizarro y Eriksson [12] introdujeron en 1991 un enfoque doble-logarítmico para resolver (3)–(6), el cual se resume a continuación:

 

(15)

 

(16)

 

donde las constantes se obtuvieron mediante el método de mínimos cuadrados, resultante A = 0.1159, α = 0.2258 y β = 1.1015. Estos valores son válidos tanto para la impedancia propia como para la mutua.

 

2.1.5.      Noda

 

En 2006, Noda [13] amplió el trabajo de Pizarro y Eriksson al aproximar A, α y β como funciones de parámetros típicos de sistemas de distribución y

 

 

transmisión, incluidos la frecuencia, la resistividad del suelo y la altura del conductor. Esta mejora incrementó la precisión del modelo de impedancia de Pizarro; sin embargo, requirió la introducción de una variable adicional, θ.

Las fórmulas para calcular la impedancia propia y mutua se presentan en (15) y (16). Los parámetros A y α se definen de la siguiente manera:

 

(17)

 

(18)

 

(19)

 

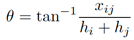
Donde, para la impedancia propia, θ = 0◦, mientras que para los cálculos de impedancia mutua, está dado por:

 

(20)

 

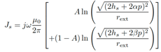
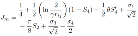
2.1.6.      Galloway

 

Las fórmulas de impedancia de Galloway [23] constituyen una adaptación numérica de la expansión completa en series de Carson y se expresan de la siguiente manera:

 

(21)

 

(22)

 

Donde γ denota la constante de Euler (1.7811), y S2, S′2, S4, S′4, σ1, σ2, σ3 y σ4 son series infinitas que se describen en detalle en [8].

 

Y

 

(23)

 

(24)

para cálculos de impedancia propia, Dij = 2hs.

Finalmente, el límite superior k en las sumatorias se fijó en 35, dado que Ramos et al. [17] demostraron que, para configuraciones típicas de líneas de distribución de 60 Hz, conservar 35 términos en las fórmulas de Galloway produce una desviación menor que 1×10−7 con respecto a la evaluación numérica de la integral de Carson. En consecuencia, este trabajo adopta la formulación de Galloway de 35 términos como referencia numérica “exacta” para la integral de Carson, denominada el modelo de Carson.

 

2.1.7.      Kersting

 

Las fórmulas de Kersting [14] se basan en las recomendaciones de Carson para r menor que 1/4 [4]. La mayoría de las configuraciones de líneas de distribución bajo condiciones de estado estable (f = 60Hz) y con resistividad de suelo estándar (ρ = 328.084 Ω · ft) se encuentran dentro de este rango.

 

(25)

 

(26)

 

Finalmente, para obtener la matriz de impedancias de fase (Z) para todos los modelos de línea, es necesario aplicar la reducción de Kron a la matriz de impedancias primitiva correspondiente (Z´). El procedimiento completo se describe en detalle en [18].

 

2.2.  Configuraciones de líneas de distribución

 

Después de presentar las fórmulas en forma cerrada para la impedancia de retorno por tierra, el siguiente paso es modelar las configuraciones de las líneas para los estudios de cortocircuito. Con este fin, se desarrolló un algoritmo en el software Mathematica para incorporar todas las formulaciones de impedancia de tierra. Luego, el algoritmo fue validado comparándolo con datos de referencia reportados en las fuentes originales.

Se seleccionaron dos sistemas de distribución para los estudios. El alimentador de prueba IEEE de 13 nodos fue elegido porque es compacto pero altamente desbalanceado, mientras que el alimentador de prueba IEEE de 34 nodos [25] fue seleccionado porque presenta líneas de distribución más largas. Los casos de prueba considerados en este estudio se basan en estos alimentadores de prueba IEEE, los cuales fueron desarrollados a partir de configuraciones reales de sistemas de distribución y son ampliamente reconocidos

 

 

como modelos de referencia para validar metodologías de análisis en redes de distribución.

Estos alimentadores se utilizan actualmente de manera extensa en estudios de cortocircuito, modelado en el dominio de fase, evaluación de impedancias de secuencia cero y análisis que involucran alta penetración de generación distribuida. Su amplia adopción y aceptación sostenida en la literatura reciente respaldan la representatividad y la conveniencia de estas configuraciones para la evaluación de precisión realizada en este trabajo [22], [26–28].

El alimentador de prueba IEEE de 13 nodos incluye cinco configuraciones de líneas aéreas (601–605); sin embargo, solo tres corresponden a espaciamientos diferentes entre conductores. En consecuencia, los resultados se presentan únicamente para las configuraciones 601, 603 y 605, que representan líneas trifásicas, bifásicas y monofásicas, respectivamente. Los datos principales de estas configuraciones se resumen en la Tabla 1.

 

Tabla 1. Datos de las configuraciones de líneas aéreas para el alimentador de prueba IEEE de 13 nodos

 

El alimentador de prueba IEEE de 34 nodos incluye cuatro configuraciones de líneas aéreas. Las configuraciones 300 y 301 son trifásicas, la configuración 305 es bifásica y la configuración 302 es monofásica. Sin embargo, los espaciamientos entre conductores son idénticos a los del alimentador de prueba IEEE de 13 nodos, como se resume en la Tabla 2.

 

Tabla 2. Datos de las configuraciones de líneas aéreas para el alimentador de prueba IEEE de 34 nodos

 

Los datos de los conductores para ambos sistemas están disponibles en [25] y se resumen en la Tabla 3. Los tamaños de los conductores se expresan en kcmil o AWG, y todos los conductores son del tipo ACSR. Los valores de resistencia se reportan en ohmios por milla a 60 Hz y 50 °C. El diámetro externo del conductor se expresa en pulgadas, y el radio medio geométrico (GMR) se expresa en pies.

Tabla 3. Datos de los conductores

 

Las configuraciones correspondientes a los diferentes espaciamientos se ilustran en la Figura 1, con todas las distancias expresadas en pies. Los conductores de fase se representan en color negro, mientras que el conductor neutro se muestra en color dorado. La distancia entre el poste y el conductor neutro es de 0.5 ft.

 

Figura 1. Espaciamientos de las líneas

 

Para evaluar adecuadamente la precisión de las fórmulas en forma cerrada para la impedancia de retorno por tierra, la Tabla 4 presenta el error porcentual máximo de las diferentes fórmulas de impedancia en comparación con la serie de Carson para las configuraciones 601, 603 y 605, correspondientes a los casos trifásico, bifásico y monofásico, respectivamente.

 

Tabla 4. Error porcentual máximo para las diferentes configuraciones de líneas de distribución

 

 

El modelado se realizó a 60 Hz, asumiendo una resistividad del suelo de 100Ω · m. Este valor fue seleccionado porque la resistividad típica del suelo varía entre 50Ω · m y 200Ω · m, y 100Ω · m representa una condición moderadamente conservadora para evaluar el comportamiento de la impedancia de retorno por tierra.

Además, 100Ω · m es ampliamente utilizado como referencia en estudios académicos recientes y en informes técnicos del IEEE que evalúan métodos basados en imágenes, modelos derivados de Carson y formulaciones de impedancia dependientes de la frecuencia [1], [8], [29, 30].

El error porcentual se calcula de la siguiente manera:

 

(27)

 

Es importante enfatizar que el modelo de Carson se utiliza como referencia en este trabajo, ya que, a bajas frecuencias, no existe una diferencia significativa entre los resultados obtenidos a partir de la formulación de Carson y aquellos obtenidos mediante la fórmula generalizada de impedancia de retorno por tierra de Wise [6]. El modelo de Wise se considera el más completo porque incorpora la permeabilidad del suelo y las corrientes de desplazamiento. No obstante, a frecuencias de potencia, estas corrientes de desplazamiento son despreciables, y ambas formulaciones convergen prácticamente a los mismos resultados [1].

A partir de la Tabla 4, es evidente que las fórmulas de Noda presentan los menores errores porcentuales tanto en la parte real como en la parte imaginaria. La fórmula de Alvarado proporciona la siguiente aproximación más precisa, con errores porcentuales máximos inferiores al 0.09 %. La aproximación de Pizarro se ubica a continuación en exactitud, mostrando un error máximo de 0.15 % en configuraciones bifásicas. En contraste, las fórmulas de Kersting y Deri producen discrepancias mayores, con errores máximos cercanos a 0.32 % y 1.19 %, respectivamente. Estos resultados son coherentes con las conclusiones presentadas por Martins [16] y Ramos-Leaños [17], quienes identificaron las formulaciones de Noda como la aproximación en forma cerrada más precisa de la serie de Carson para configuraciones típicas de líneas de distribución. También es importante señalar que el procedimiento utilizado en este estudio para calcular las diferencias porcentuales es idéntico al adoptado por Papadopoulos [1].

A partir de estas tablas, es evidente que las fórmulas de Deri y Dubanton producen matrices de impedancia idénticas para las configuraciones de línea analizadas en este estudio. En consecuencia, se combinan y se tratan como una única formulación en el análisis posterior.

Finalmente, debe señalarse que los errores porcentuales más pequeños ocurren en las configuraciones monofásicas (605). Además, dado que las líneas monofásicas suelen ser cortas, se espera que estas configuraciones ejerzan una influencia limitada en los cálculos de cortocircuito. En contraste, las configuraciones bifásicas (603) presentan errores porcentuales mayores y, dado que este tipo de líneas suelen tener una longitud media, es más probable que tengan un impacto más significativo en los resultados de los estudios de cortocircuito.

 

3.     Resultados y discusión

 

Esta sección presenta los principales resultados de los estudios de cortocircuito realizados en los alimentadores de prueba IEEE de 13 y 34 nodos. Se analizan tres casos de estudio para representar condiciones distintas de los sistemas de distribución: un alimentador de 13 nodos con líneas cortas (menores de 1 milla), un alimentador de 34 nodos con líneas largas (hasta 15 millas) y un tercer escenario caracterizado por líneas extremadamente largas (mayores de 15 millas).

El algoritmo utilizado para estos estudios fue implementado en Mathematica, y sus resultados coinciden exactamente con los datos de referencia publicados por la IEEE Power and Energy Society [31]. Se adoptó el análisis en el dominio de fase para los cálculos de cortocircuito, ya que es ampliamente reconocido como el enfoque de referencia para los estudios de sistemas de distribución [20], [27]. Descripciones detalladas de este método están disponibles en [32, 33]. Se aplicaron suposiciones estándar a lo largo de las simulaciones de cortocircuito: el voltaje prefalla se fijó en 1 pu y se despreciaron las cargas estáticas.

Antes de presentar los resultados de los estudios de cortocircuito, es importante aclarar que, para facilitar el análisis, todos los resultados se reportan como el error porcentual máximo, calculado mediante la ecuación (28). En esta expresión, ICarson denota la corriente de cortocircuito obtenida con el modelo de Carson, e IE−formulae denota la corriente obtenida con las formulaciones correspondientes de impedancia de tierra en forma cerrada. Los valores de corriente de cortocircuito en amperios están disponibles por solicitud a los autores.

 

(28)

 

 

 

 

Los resultados para los diferentes tipos de fallas se presentan a continuación. Es importante señalar que los resultados de fallas trifásicas y fallas línea a línea no se reportan, ya que no se observaron diferencias significativas entre los modelos de impedancia. Este comportamiento es esperado, porque estas fallas no involucran un camino de retorno por tierra; en consecuencia, todas las formulaciones convergen.

 

3.1.  Alimentador de prueba IEEE de 13 nodos

 

El primer estudio de cortocircuito se realiza en el alimentador de prueba IEEE de 13 nodos, cuyo diagrama unifilar se muestra en la Figura 2. En el diagrama, las líneas continuas, punteadas y segmentadas representan configuraciones de líneas trifásicas, bifásicas y monofásicas, respectivamente.

 

Figura 2. Alimentador de prueba IEEE de 13 nodos

 

Los datos completos del sistema están disponibles en [31]. La Tabla 5 resume los datos principales de los tramos de línea.

 

Tabla 5. Datos de los tramos de línea para el caso de estudio1

 

El tramo 671–692 no se incluye en la tabla porque corresponde a un seccionador de longitud cero. Las matrices de impedancia de los tramos subterráneos 684–652 y 692–675 se tomaron de [31]. Estas matrices se mantuvieron sin cambios, porque sus diferencias con respecto al modelo de Carson son menores al 0.01 % [34].

3.1.1.      Falla trifásica a tierra

 

La Figura 3 presenta las diferencias porcentuales máximas en la corriente de cortocircuito entre el modelo de Carson y las formulaciones en forma cerrada de la impedancia de retorno por tierra para una falla trifásica a tierra.

 

Figura 3. Error porcentual máximo para una falla trifásica a tierra

 

A partir de la Figura 3, es evidente que todas las formulaciones de impedancia en forma cerrada producen errores inferiores al 0.006 % para este tipo de falla. Entre ellas, la formulación de Noda presenta la mayor concordancia con el modelo de Carson, seguida—en orden decreciente de precisión— por las de Alvarado, Pizarro–Eriksson, Kersting y Deri. El mayor error porcentual ocurre en el nodo 680, que se encuentra a lo largo del trayecto trifásico más largo desde la fuente de cortocircuito, aproximadamente 5000 ft.

 

3.1.2.      Falla línea-a-línea-a-tierra

 

La Figura 4 muestra los errores porcentuales máximos en la corriente de cortocircuito entre el modelo de Carson y las formulaciones en forma cerrada de la impedancia de retorno por tierra para una falla línea-a-línea-a-tierra.

Como se muestra en la Figura 4, las formulaciones de Noda presentan la mayor concordancia, seguidas por las de Alvarado y Pizarro–Eriksson. Las formulaciones de Kersting y Deri también muestran un buen desempeño, con errores que permanecen por debajo del 0.05 %.

 

Figura 4. Error porcentual máximo para una falla líneaa- línea-a-tierra

 

 

El mayor error promedio ocurre en el nodo 680, el cual se encuentra a lo largo del tramo bifásico más largo desde la fuente de cortocircuito (aproximadamente 5000 ft). Cabe destacar que los nodos 645 y 646 también presentan errores relativamente grandes porque son nodos bifásicos; sin embargo, dado que los tramos de línea asociados son cortos, su efecto global sigue siendo limitado.

 

3.1.3.      Falla monofásica a tierra

 

La Figura 5 presenta las diferencias porcentuales máximas en la corriente de cortocircuito entre el modelo de Carson y las formulaciones en forma cerrada de la impedancia de retorno por tierra para una falla monofásica a tierra.

 

Figura 5. Error porcentual máximo para una falla monofásica a tierra.

 

A partir de la Figura 5, es evidente que, para este tipo de falla, todas las formulaciones de impedancia de tierra producen errores inferiores al 0.21 %. De manera consistente con los otros casos de falla, la formulación de Noda presenta la mayor concordancia con el modelo de Carson, seguida de cerca por las de Alvarado y Pizarro–Eriksson, y luego por las de Kersting y Deri.

 

3.1.4.      Análisis para el caso de estudio 1

 

Con base en los resultados de cortocircuito, se puede concluir que las discrepancias más grandes ocurren generalmente para las fallas monofásicas a tierra (0.21 %), seguidas por las fallas línea-a-línea-a-tierra (0.05 %) y, finalmente, por las fallas trifásicas a tierra (0.006 %). En todos los tipos de falla, la formulación de Noda proporciona la aproximación más precisa, seguida de cerca por las de Alvarado y Pizarro–Eriksson. Las formulaciones restantes de impedancia de tierra introducen errores que pueden no ser despreciables en ciertas aplicaciones, particularmente cuando se incluyen tramos de línea más largos.

Se lleva a cabo un análisis actualizado para examinar la relación entre los errores de modelado asociados con las configuraciones de línea y los errores observados en los estudios de cortocircuito, con el objetivo de determinar si existe una correlación entre estos parámetros. Debido a que el nodo 680 presenta el mayor error de cortocircuito y la configuración 601 conecta el nodo fuente (650) con el nodo 680, la evaluación se centra en la configuración trifásica 601. Para esta configuración, el componente reactivo es aproximadamente tres veces mayor que el componente resistivo; por lo tanto, la parte imaginaria se adopta como referencia para el análisis de correlación.

La Tabla 6 resume la relación entre los errores de modelado de impedancia y los errores máximos de cortocircuito en el nodo 680. Los valores reportados se obtienen dividiendo los errores máximos de cortocircuito entre los errores máximos en la parte imaginaria de las impedancias correspondientes, de modo que razones mayores indican una correlación más fuerte.

 

Tabla 6. Relación entre los errores de impedancia y los resultados de cortocircuito

 

A partir de la Tabla 6 se puede concluir que los errores de modelado de impedancia ejercen una influencia más fuerte en las fallas línea-a-tierra, como lo reflejan las razones mayores. Es importante señalar que esta evaluación se realizó únicamente para el nodo 680, que es un nodo trifásico. Para obtener una comprensión más completa, es necesario extender el mismo análisis a los nodos bifásicos y monofásicos asociados con tramos de línea más largos. Esta evaluación ampliada se aborda en los casos siguientes.

 

3.2.  Líneas de distribución largas

 

El objetivo de este caso de estudio es examinar cómo la longitud de la línea afecta la magnitud de las corrientes de falla de cortocircuito. El análisis de cortocircuito se realiza en una sección del alimentador de prueba IEEE de 34 nodos, como se muestra en el diagrama unifilar de la Figura 6. En el diagrama, las líneas continuas, discontinuas y punteadas denotan configuraciones de líneas trifásicas, bifásicas y monofásicas, respectivamente.

 

 

Figura 6. Alimentador de prueba IEEE de 34 nodos

 

La sección principal del alimentador hasta el nodo 816 se modela como una línea trifásica con la configuración 300 y una longitud de 105 060 ft. A partir del nodo 816, se consideran tres ramales: un ramal trifásico con la configuración 301, un ramal bifásico con la configuración 305 y un ramal monofásico con la configuración 302. Los datos clave de los tramos de línea se resumen en la Tabla 7.

 

Tabla 7. Datos de los tramos de línea para el caso de estudio 2

 

Los resultados se presentan para los nodos terminales ubicados a 3, 6, 9, 12 y 15 millas aguas abajo del nodo trifásico 816.

 

3.2.1.      Falla trifásica a tierra

 

La Figura 7 muestra las diferencias porcentuales máximas en la corriente de cortocircuito entre el modelo de Carson y las formulaciones en forma cerrada de la impedancia de retorno por tierra para una falla trifásica a tierra en el nodo 823.

 

Figura 7. Error porcentual máximo para una falla trifásica a tierra en el caso de estudio 2 (nodo 823)

A partir de la Figura 7, es evidente que todas las formulaciones en forma cerrada producen errores inferiores al 0.005 % para este tipo de falla.

 

3.2.2.      Falla línea-a-línea-a-tierra

 

La Figura 8 muestra el error porcentual máximo en la corriente de cortocircuito entre el modelo de Carson y las formulaciones en forma cerrada de la impedancia de retorno por tierra para una falla línea a línea a tierra, correspondiente al caso bifásico.

 

Figura 8. Error porcentual máximo para una falla líneaa- línea-a-tierra en el caso de estudio 2 (nodo 822, bifásico)

 

El caso trifásico no se reporta porque es esencialmente idéntico al caso bifásico; ambos presentan un error máximo de 0.05 % para la formulación de Deri.

 

3.2.3.      Falla monofásica a tierra

 

La Figura 9 muestra las diferencias porcentuale  máximas en la corriente de cortocircuito entre el modelo de Carson y las formulaciones en forma cerrada de la impedancia de retorno por tierra para una falla monofásica a tierra, correspondiente al caso monofásico.

 

Figura 9. Error porcentual máximo para una falla monofásica a tierra en el caso de estudio 2 (nodo 821, monofásico)

 

 

De la Figura 9, es evidente que las formulaciones de Noda presentan la mayor concordancia con el modelo de Carson, seguidas por las de Alvarado, Eriksson y Kersting. Las formulaciones de Deri también muestran un desempeño satisfactorio, con errores que permanecen por debajo de 0.18 %. Cabe señalar que los casos trifásico y bifásico exhiben tendencias comparables a las de la configuración monofásica; por lo tanto, no se reportan.

 

3.2.4.      Análisis para el caso de estudio 2

 

Con base en los resultados de cortocircuito, se puede concluir que las discrepancias más grandes ocurren generalmente para fallas monofásicas a tierra (0.19 %), seguidas por fallas doble línea a tierra (0.05 %) y, finalmente, fallas trifásicas a tierra (0.005 %). En todos los tipos de falla, las formulaciones de Noda proporcionan la aproximación más precisa, seguidas de cerca por los métodos de Alvarado y Eriksson. Las formulaciones restantes exhiben errores que pueden no ser despreciables en los cálculos de fallas línea a tierra.

Después de analizar los resultados del primer y segundo caso de estudio, es evidente que la falla línea a tierra constituye el escenario más crítico. En consecuencia, se realiza un análisis de correlación para examinar la relación entre los errores de modelado de las líneas y los resultados de los estudios de fallas línea a tierra. Para las configuraciones 302 y 305, que corresponden a líneas monofásicas y bifásicas, el componente resistivo es aproximadamente el doble del componente reactivo; por lo tanto, estas configuraciones se adoptan como los casos de referencia para esta evaluación.

La Tabla 8 resume la relación entre los errores de modelado de las líneas y los errores máximos obtenidos en los estudios de cortocircuito a una distancia de 15 millas desde el nodo 816. Los valores reportados en la Tabla 8 se calcularon como la razón entre los errores máximos de cortocircuito y los errores máximos en la parte real de las impedancias correspondientes. Valores más altos indican una correlación más fuerte.

 

Tabla 8. Relación entre el error de modelado de impedancia y los resultados de cortocircuito línea a tierra

 

A partir de la Tabla 8, se puede concluir que el error de modelado de impedancia es más influyente en la

configuración monofásica, como lo evidencian las razones mayores. Esto indica una relación estrecha entre el error de modelado de la línea y el error de falla línea a tierra para líneas monofásicas. Con respecto a las configuraciones trifásica y bifásica, la influencia del error de modelado en los cálculos de cortocircuito también sigue siendo significativa, en concordancia con los hallazgos del caso de estudio 1; no obstante, la configuración monofásica continúa representando el caso crítico. Finalmente, para abarcar todas las condiciones de operación relevantes, deben considerarse líneas extremadamente largas, y este escenario se examina en el caso de estudio final.

 

3.3.  Líneas de distribución muy largas

 

El objetivo de este tercer caso de estudio es examinar las magnitudes de las fallas de cortocircuito en líneas de distribución extremadamente largas (mayores a 50 millas), abarcando así todos los escenarios relevantes en el modelado de sistemas de distribución. La Figura 10 ilustra el sistema adoptado para este análisis, el cual se fundamenta en el alimentador de prueba IEEE de 13 nodos. Específicamente, el tramo de línea aérea entre los nodos 650 y 632 se extiende hasta una longitud total de 50 millas. Esta línea utiliza la configuración trifásica 601, con parámetros proporcionados en la Tabla 1. Solo se considera el caso trifásico, dado que las líneas de distribución extremadamente largas suelen implementarse mediante configuraciones trifásicas.

 

Figura 10. Error porcentual máximo para una falla monofásica a tierra en el caso de estudio 3

 

3.3.1.      Resultados de cortocircuito

 

La Figura 10 ilustra las diferencias porcentuales máximas en la corriente de cortocircuito entre el modelo de Carson y las formulaciones en forma cerrada de la impedancia de retorno a tierra para una falla monofásica a tierra.

 

 

 A partir de la Figura 10, es evidente que las formulaciones de Noda presentan la mayor concordancia con el modelo de Carson, seguidas por las de Alvarado, Eriksson y Kersting. Las formulaciones de Deri también muestran un desempeño satisfactorio, con errores que permanecen por debajo de 0.27 %.

Los resultados para las fallas trifásicas a tierra y de doble línea a tierra no se reportan porque presentan un comportamiento similar al mostrado en las figuras 7 y 8 del caso de estudio 2. El error porcentual máximo es de 0.007 % para la falla trifásica a tierra y de 0.04 % para la falla de doble línea a tierra.

 

3.3.2.      Análisis para el caso de estudio 3

 

El estudio de la falla trifásica a tierra muestra que todas las formulaciones de impedancia de tierra en forma cerrada producen errores máximos inferiores a 0.007 %. Surge una tendencia consistente al comparar estos resultados con los de los casos de estudio 1 y 2. Específicamente, el caso de estudio 1 reportó un error máximo de 0.006 % a 1 milla de la fuente, mientras que el caso de estudio 2 mostró un error máximo de 0.005 % a 15 millas. En conjunto, estos hallazgos indican que las formulaciones de impedancia de tierra en forma cerrada consideradas son suficientemente precisas para modelar fallas trifásicas a tierra.

Para las fallas línea a línea a tierra, todas las formulaciones de impedancia de tierra en forma cerrada exhiben errores máximos de aproximadamente 0.04 %. Este resultado es coherente con los casos de estudio 1 y 2, que reportaron errores máximos de 0.05 % a 2000 ft y 15 millas, respectivamente. En todos los casos, el error máximo se mantiene por debajo de 0.05 %, lo que indica que las formulaciones de impedancia de tierra en forma cerrada consideradas son suficientemente precisas para modelar este tipo de falla.

Para las fallas línea a tierra (monofásicas a tierra), todas las formulaciones de impedancia de tierra en forma cerrada exhiben errores máximos de 0.27 %. El caso de estudio 1 reportó un error máximo de 0.21 % a 5000 ft, mientras que el caso de estudio 2 mostró un error máximo de 0.19 % a 15 millas. En los tres casos de estudio, el error máximo se mantiene por debajo de 0.27 %.

Con base en los resultados de este estudio de cortocircuito, se puede concluir que las discrepancias más grandes ocurren generalmente para las fallas línea a tierra (0.27 %), seguidas por las fallas doble línea a tierra (0.04 %) y, finalmente, por las fallas trifásicas a tierra (0.007 %). Entre las formulaciones evaluadas, el modelo de Noda proporciona la aproximación más precisa en todos los tipos de falla, seguido de cerca por los modelos de Alvarado y Eriksson. En contraste, las formulaciones

restantes pueden introducir errores no despreciables en los cálculos de fallas línea a tierra, particularmente en aplicaciones que requieren alta precisión. Estas conclusiones son coherentes con las tendencias observadas en los casos de estudio analizados previamente y son directamente relevantes para investigaciones en curso que examinan la influencia de la generación distribuida en las magnitudes de corriente de cortocircuito [22], [35, 36].

Se lleva a cabo un análisis de correlación para examinar la relación entre las magnitudes de error en el modelado de líneas y los resultados de los estudios de cortocircuito. Para la configuración 601, el componente reactivo es aproximadamente tres veces mayor que el componente resistivo; por lo tanto, la parte reactiva se adopta como referencia para esta evaluación. La Tabla 9 presenta la relación entre los errores de modelado de la línea y los errores máximos de cortocircuito observados a una distancia de 50 millas desde el nodo 650. Los valores reportados en la Tabla 9 se calculan dividiendo los errores máximos de cortocircuito entre los errores máximos de modelado asociados con la parte reactiva de las impedancias correspondientes.

 

Tabla 9. Relación entre el error de modelado de impedancia y los resultados de cortocircuito

 

A partir de la Tabla 9, se puede concluir que los errores de modelado de impedancia son más relevantes para las fallas línea a tierra, como lo evidencia la fuerte correlación observada para la mayoría de las formulaciones de impedancia de tierra en forma cerrada. En contraste, para las fallas trifásicas y las fallas línea a línea, no emerge una relación clara entre los errores de modelado de impedancia y los resultados de cortocircuito. En consecuencia, para líneas de distribución muy largas, la elección de la formulación de impedancia de tierra tiene una influencia insignificante en los cálculos de cortocircuito bajo estas condiciones de falla.

 

4.     Conclusiones

 

Este estudio presentó, de manera integral y accesible, las formulaciones de impedancia de retorno a tierra en forma cerrada más ampliamente utilizadas para el análisis de

 

 

 cortocircuito en sistemas de distribución. Estas formulaciones se aplicaron para modelar configuraciones

de líneas monofásicas, bifásicas y trifásicas representativas de redes de distribución prácticas. Su precisión en impedancia se cuantificó mediante comparaciones de error porcentual con respecto al modelo de referencia de Carson.

Después de la etapa de modelado de las líneas, se llevaron a cabo tres casos de estudio de cortocircuito. El primero examinó un alimentador con líneas cortas (menores a 1 milla), el segundo consideró líneas de longitud media (hasta 15 millas) y el tercero evaluó líneas muy largas (hasta 50 millas). En cada caso, se determinó el error porcentual entre las corrientes de cortocircuito calculadas utilizando las formulaciones en forma cerrada y aquellas obtenidas con el modelo de Carson.

En todos los estudios, las fallas línea a tierra produjeron consistentemente los mayores errores porcentuales, seguidas por las fallas línea a línea a tierra, mientras que las fallas trifásicas a tierra mostraron los errores más pequeños. Es importante destacar que las fallas trifásicas y las fallas línea a línea exhibieron diferencias insignificantes entre las formulaciones estudiadas y el modelo de Carson.

Para todos los casos, el error máximo para las fallas trifásicas a tierra se mantuvo por debajo de 0.007 %, y para las fallas línea a línea a tierra por debajo de 0.04 %, lo que confirma que todas las formulaciones en forma cerrada consideradas son adecuadas para modelar estas categorías de falla. En contraste, las fallas línea a tierra alcanzaron un error máximo de 0.27 %, lo que indica que la selección de la formulación de impedancia de retorno a tierra puede ser determinante en estudios donde se requiere alta precisión en los cálculos de cortocircuito.

Entre las formulaciones evaluadas, el modelo de Noda proporcionó sistemáticamente la aproximación más precisa al modelo de referencia de Carson, seguido de cerca por las formulaciones de Alvarado y Eriksson, mientras que las de Kersting y Deri produjeron las mayores desviaciones. En general, las formulaciones con representaciones de imágenes complejas más elaboradas tendieron a alcanzar una mayor precisión. No obstante, excepto en las fallas línea a tierra, las formulaciones más simples parecen ser suficientes para los estudios de cortocircuito y pueden preferirse cuando la reducción del esfuerzo computacional es una prioridad.

El análisis de correlación mostró, además, que para las fallas trifásicas y línea a línea a tierra, los errores de modelado de impedancia no se traducen en errores apreciables en los cálculos de cortocircuito. En cambio, se observó una fuerte correlación para las fallas línea a tierra, particularmente en configuraciones monofásicas,

lo que subraya que un modelado preciso de la impedancia de retorno a tierra es crítico en estos escenarios.

En general, las formulaciones de impedancia de retorno a tierra en forma cerrada investigadas son adecuadas para el análisis de cortocircuitos en sistemas de distribución. Sin embargo, para las fallas monofásicas a tierra en líneas monofásicas, la elección de la formulación en forma cerrada es crucial para garantizar resultados de cortocircuito precisos.

 

Rol de autores

 

·         Allen A. Castillo Barrón: Conceptualización, análisis formal, metodología, administración del proyecto, escritura – borrador original, escritura – revisión y edición.

·         Gerardo Ayala Jaimes: Recursos, software, visualización, escritura – borrador original, escritura– revisión y edición.

·         Alejandra Jiménez Vega: Investigación, supervisión, validación.

·         Francisco J. Ramírez Arias: Curación de datos, software, visualización.

 

Referencias

 

[1] T. A. Papadopoulos, A. I. Chrysochos, C. K. Traianos, and G. Papagiannis, “Closed-form expressions for the analysis of wave propagation in overhead distribution lines,” Energies, vol. 13, no. 17, p. 4519, Sep. 2020. [Online]. Available: https://doi.org/10.3390/en13174519

[2] R. Cleenwerck, H. Azaioud, R. Claeys, T. Coosemans, J. Knockaert, and J. Desmet, “An approach to the impedance modelling of low-voltage cables in digital twins,” Electric Power Systems Research, vol. 210, p. 108075, Sep. 2022. [Online]. Available: http://doi.org/10.1016/j.epsr.2022.108075

[3] J. Zhang, F. Geth, R. Heidari, and G. Verbič, “Beyond simplifications: Evaluating assumptions for low-voltage network modelling in the der era,” Sustainable Energy, Grids and Networks, vol. 43, p. 101860, Sep. 2025. [Online]. Available: http://doi.org/10.1016/j.segan.2025.101860

[4] J. R. Carson, “Wave propagation in overhead wires with ground return,” Bell System Technical Journal, vol. 5, no. 4, pp. 539–554, Oct. 1926. [Online]. Available: http://doi.org/10.1002/j.1538-7305.1926.tb00122.x

 

 

 

[5] W. H. Wise, “Effect of ground permeability on ground return circuits,” Bell System Technical Journal, vol. 10, no. 3, pp. 472–484, Jul. 1931. [Online]. Available: http://doi.org/10.1002/j.1538-7305.1931.tb01287.x

[6] W. Wise, “Propagation of high-frequency currents in ground return circuits,” Proceedings of the IRE, vol. 22, no. 4, pp. 522–527, Apr. 1934. [Online]. Available: http://doi.org/10.1109/JRPROC.1934.225868

[7] E. D. Sunde, Earth Conduction Effects in Transmission Systems. Dover Publications, 1968. [Online]. Available: https://upsalesiana.ec/ing35ar5r7

[8] H. Wohlfarth, “Calculation of ground impedances,” IEEE Transactions on Pow Delivery, vol. 39, no. 4, pp. 2113–2124, Aug. 2024. [Online]. Available: https://doi.org/10.1109/TPWRD.2024.3388570

[9] C. Dubanton, “Calcul approché des parametres primaires et secondaires d’une ligne de transport,” EDF Bulletin de la Direction des Études et Recherches, no. 1, pp. 53–62, 1969, cited by: 16. [Online]. Available: https://upsalesiana.ec/ing35ar5r10

[10] A. Deri, G. Tevan, A. Semlyen, and A. Castanheira, “The complex ground return plane a simplified model for homogeneous and multi-layer earth return,” IEEE Transactions on Power Apparatus and Systems, vol. PAS-100, no. 8, pp. 3686–3693, Aug. 1981. [Online]. Available: https://doi.org/10.1109/TPAS.1981.317011

[11] F. Alvarado and R. Betancourt, “An accurate closed-form approximation for ground return impedance calculations,” Proceedings of the IEEE, vol. 71, no. 2, pp. 279–280, 1983. [Online]. Available: https://doi.org/10.1109/PROC.1983.12573

[12] M. Pizarro and R. Eriksson, “Modelling of the ground mode of transmission lines in time domain simulations,” 7th Int. Symp. on High Voltag Engineering, pp. 179–182, 1991.

[13] T. Noda, “A double logarithmic approximation of carson’s ground-return impedance,” IEEE Transactions on Power Delivery, vol. 21, no. 1, pp. 472–479, Jan. 2006. [Online]. Available: https://doi.org/10.1109/TPWRD.2005.852307

[14] W. Kersting and W. Phillips, “Distribution feeder line models,” IEEE Transactions on Industry Applications, vol. 31, no. 4, pp. 715–720, 1995. [Online]. Available: https://doi.org/10.1109/28.395276

[15] T. Theodoulidis, “On the closed-form expression of carson’s integral,” Periodica Polytechnica Electrical Engineering and Computer Science, vol. 59, no. 1, pp. 26–29, 2015. [Online]. Available: https://doi.org/10.3311/PPee.7894

[16] T. Martins, A. Lima, and S. Carneiro, “Effect of approximate impedance formulae on the accuracy of transmission line modelling,” IET Generation, Transmission & Distribution, vol. 1, no. 4, pp. 534–539, Jul. 2007. [Online]. Available: https://doi.org/10.1049/iet-gtd:20060289

[17] O. Ramos-Leanos, J. L. Naredo, F. A. Uribe, and J. L. Guardado, “Accurate and approximate evaluation of power-line earth impedances through the carson integral,” IEEE Transactions on Electromagnetic Compatibility, vol. 59, no. 5, pp. 1465–1473, Oct. 2017. [Online]. Available: https://doi.org/10.1109/TEMC.2017.2679213

[18] S. Li and D. Tylavsky, “Analytic continuation as the origin of complex distances in impedance approximations,” International Journal of Electrical Power & Energy Systems, vol. 105, pp. 699–708, Feb. 2019. [Online]. Available: https://doi.org/10.1016/j.ijepes.2018.09.022

[19] K. Gampa, S. A. Vemprala, and S. M. Brahma, “Errors in fault analysis of power distribution systems using sequence components approach,” in IEEE PES T&D 2010. IEEE, 2010, pp. 1–6. [Online]. Available: https://doi.org/10.1109/TDC.2010.5484378

[20] R. S. F. Ferraz, R. S. F. Ferraz, A. C. Rueda-Medina, and M. H. M. Paiva, “Power flow and fault analysis using graph theory,” in 2021 IEEE URUCON. IEEE, Nov. 2021, pp. 6–11. [Online]. Available: https://doi.org/10.1109/URUCON53396.2021.9647053

[21] A. Suresh, K. Murari, S. Kamalasadan, and S. Paudyal, “Steady-state fault analysis of unbalanced power distribution network utilizing a novel sequence component based methodology,” in 2023 IEEE Industry Applications Society Annual Meeting (IAS). IEEE, Oct. 2023, pp. 1–6. [Online]. Available: https://doi.org/10.1109/IAS54024.2023.10406399

[22] J. He, Z. Li, W. Li, J. Zou, X. Li, and F.Wu, “Fast short-circuit current calculation of unbalanced distribution networks with inverter-interfaced distributed generators,” International Journal of Electrical Power & Energy Systems, vol. 146, p. 108728, Mar. 2023.

[23] R. Galloway, W. Shorrocks, and L. Wedepohl, “Calculation of electrical parameters for short and long polyphase transmission lines,” Proceedings of the Institution of Electrical Engineers, vol. 111, no. 12, p. 2051, 1964. [Online]. Available: https://doi.org/10.1049/piee.1964.0331

[24] M. Cenký, J. Bendík, B. Cintula, P. Janiga, A. Belan, and Z. Eleschová, “Three-phase and single-phase measurement of overhead power line capacitance evaluation,” Electrical Engineering, vol. 105, no. 2, pp. 1045–1065, Jan. 2023. [Online]. Available: https://doi.org/10.1007/s00202-022-01714-1

 

 

[25] W. Kersting, “Radial distribution test feeders,” in 2001 IEEE Power Engineering Society Winter Meeting. Conference Proceedings (Cat. No.01CH37194), ser. PESW-01, vol. 2. IEEE, 2001, pp. 908–912. [Online]. Available https://doi.org/10.1109/PESW.2001.916993

[26] K. P. Schneider, B. A. Mather, B. C. Pal, C.-W. Ten, G. J. Shirek, H. Zhu, J. C. Fuller, J. L. R. Pereira, L. F. Ochoa, L. R. de Araujo, R. C. Dugan, S. Matthias, S. Paudyal, T. E. McDermott, and W. Kersting, “Analytic considerations and design basis for the ieee distribution test feeders,” IEEE Transactions on Power Systems, vol. 33, no. 3, pp. 3181–3188, May 2018. [Online]. Available: https://doi.org/10.1109/TPWRS.2017.2760011

[27] I. Kim, “A short-circuit analysis algorithm capable of analyzing unbalanced loads and phase shifts through transformers using the newton-raphson power-flow calculation, sequence, and superposition methods,” International Transactions on Electrical Energy Systems, vol. 31, no. 4, Oct. 2020. [Online]. Available: https://doi.org/10.1002/2050-7038.12653

[28] G. Meena, A. Mathur, V. P. Singh, K. Murari, and S. Kamalasadan, “Efficient evaluation of short-circuit faults in active distribution networks,” in 2024 IEEE International Conference on Power Electronics, Drives and Energy Systems (PEDES). IEEE, Dec. 2024, pp. 1–6. [Online]. Available: https://doi.org/10.1109/PEDES61459.2024.10961501

[29] T. F. G. Pascoalato, A. R. J. d. Araújo, S. Kurokawa, and J. P. Filho, “Effects of frequency-dependent soil electrical parameters on sequence parameters of double-circuit transmission lines,” Electric Power Systems Research, vol. 247, p. 111724, Oct. 2025. [Online]. Available: https://doi.org/10.1016/j.epsr.2025.111724

[30] A. A. Castillo, A. L. Lopez, N. A. B. Tello, I. Uriarte, and A. Jimenez, “A comparison of models for calculating distribution lines impedance,” in 2018 IEEE International Autumn Meeting on Power, Electronics and Computing (ROPEC). IEEE, Nov. 2018, pp. 1–6. [Online]. Available: https://doi.org/10.1109/ROPEC.2018.8661470

[31] IEEE. Resources – ieee pes test feeder. Institute of Electrical and Electronics Engineers. [Online]. Available: https://upsalesiana.ec/ing35ar5r32

[32] W. H. Kersting, Distribution System Modeling and Analysis, Third Edition. CRC Press, 2012. [Online]. Available: https://upsalesiana.ec/ing35ar5r33

[33] W. H. Kersting and G. Shirek, “Short circuit analysis of ieee test feeders,” in PES T&D 2012. IEEE, May 2012, pp. 1–9. [Online]. Available: http://doi.org/10.1109/TDC.2012.6281539

[34] W. H. Kersting and R. K. Green, “The application of carson’s equation to the steady-state analysi of distribution feeders,” in 2011 IEEE/PES Power Systems Conference and Exposition. IEEE, Mar. 2011, pp. 1–6. [Online]. Available: http://doi.org/10.1109/PSCE.2011.5772579

[35] F. Rongqi, L. Kuan, H. Qiang, J. Panpan, and W. Anning, “Calibration of distributed pv setting calculation model and simulation calculation model based on short-circuit test of distribution network,” in 2023 IEEE 11th Joint International Information Technology and Artificial Intelligence Conference (ITAIC). IEEE, Dec. 2023, pp. 603–607. [Online]. Available: http://doi.org/10.1109/ITAIC58329.2023.10408848

[36] J. Hoeksema, R. Torkzadeh, J. Van Waes, S. Cobben, and V. Ćuk, “A case study on the future changes in short circuit power to analyze the impact on voltage dips,” IET Conference Proceedings, vol. 2023, no. 6, pp. 1330–1334, Jul. 2023. [Online]. Available: http://doi.org/10.1049/icp.2023.0707